Предположим, что на некотором станке производится партия деталей, часть которых сразу же используется на другом станке, имеющем более низкую производительность. Оставшаяся часть деталей находится в запасе до тех пор, пока эти детали не понадобятся для другого станка.

В данном случае не происходит единовременного пополнения всего запаса, и его уровень не изменяется скачкообразно от 0 до q, напротив, запас равномерно возрастает в течение периода работы первого станка, а затем, по мере использования запасов для работы второго станка, начинает убывать. Производительность первого станка равна Р, а темп использования запасов равен D, причем Р ³ D. Как показано на рис. 2. 9, уровень запасов изменяется во времени.
Каково оптимальное значение размера партии продукции q для первого станка? С какой частотой следует выпускать партии продукции? Общая переменная стоимость партии продукции за год ТС включает в себя стоимость производственного цикла и издержки хранения. Следовательно,

Для того чтобы найти средний уровень запаса, рассмотрим более подробно один цикл запаса (рис. 2.10).

Размер партии деталей равен q, однако, поскольку детали используются по мере их изготовления, максимальный уровень запасов q¢ меньше, чем q. Если выпуск деталей осуществляется с ежегодной производительностью Р, потребление – с ежегодным темпом D (Р ³ D), то темп пополнения запасов равен (Р – D). Как и в модели EOQ, средний уровень запаса составляет половину его максимального уровня.
Если производственный цикл длится t1 лет, то общий объем продукции, производимый в течение цикла, определяется по формуле

следовательно, t1 = q / P лет.
Максимальный уровень запасов равен (Р – D) t1 деталей. Подставив в данное соотношение найденное выражение для t1, получим, что максимальный уровень запасов составляет (Р – D) (q / P) деталей. Таким образом, средний уровень запасов равен
![]()
Теперь мы можем вывести уравнение общей переменной стоимости:

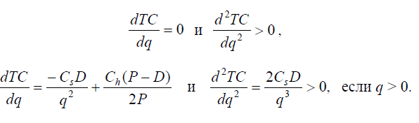
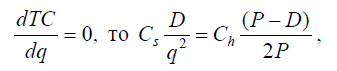
Минимальное значение ТС достигается, когда

Если

следовательно,

Теперь можно найти экономичный размер партии, минимизирующий общую переменную стоимость производства:
