В некоторых случаях издержки хранения продукции являются гораздо более высокими, чем любые издержки, связанные с отсутствием запаса в течение небольшого промежутка времени.
Можно построить модель управления запасами, в которой предусматриваются регулярные периоды, в течение которых запас отсутствует (рис. 2.11).

Возможны два случая:
Администрация супермаркета, к примеру, может принять решение о снижении уровня запасов крупногабаритной продукции, которая хранится на складах. Это решение приведет к тому, что в каждом цикле в течение нескольких дней запасов данной продукции не будет.
Из-за снижения объемов продаж и в некотором смысле потери доверия клиентов появятся определенные издержки. Администрация супермаркета будет вынуждена сопоставить эти издержки и величину экономии, полученной вследствие отсутствия запасов продукции.
Однако в данном случае, если запасов не будет, а покупателю понадобится именно эта стиральная машина, то владелец магазина, вероятнее всего, выразит готовность принять заказ покупателя и обеспечить его необходимым товаром сразу же после получения следующих партий стиральных машин. Владелец магазина понесет некоторые затраты, связанные с поддержанием системы заказов, но и в данном случае их следует сопоставить с величиной экономии стоимости хранения запасов (рис. 2.12).

Основное различие между двумя описанными случаями состоит в том, что в первом из них после получения новых поставок заказы покупателей не выполняются, следовательно, максимальный уровень запасов совпадает с размером получаемого заказа. Во втором случае часть продукции из новой поставки идет на удовлетворение заказов клиентов, поэтому максимальный уровень запасов представляет собой разницу между размером заказа и максимальным спросом, возникающим при отсутствии запасов.
Рассмотрим сначала второй случай, предусматривающий выполнение заказов покупателей.
Максимальный уровень запаса представляет собой размер заказа q за вычетом максимального значения спроса в течение периода отсутствия заказа S. Следовательно, максимальный уровень запаса равен (q – S).
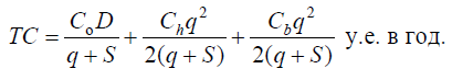
Общая переменная стоимость запасов за год ТС включает в себя три компоненты:
D – ежегодный спрос;
Со – стоимость подачи одного заказа;
Сh – стоимость хранения единицы продукции в запасе в течение года;
Сb – стоимость отсутствия запаса единицы продукции в запасе в течение года;
q – объем заказа, единиц продукции/заказ.

Для расчета среднего размера запасов рассмотрим один цикл запаса продолжительностью в Т лет.
Пусть имеющийся запас потребляется в течение t1 лет, а в течение t2 лет запас отсутствует: t1 + t2 = Т.
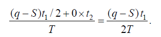
В период существования запаса t1 средний уровень запаса равен (q – S) / 2. Следовательно, на складах хранится (q – S) / 2 единиц продукции в среднем в течение периода t1. В итоге получаем (q – S) t1 / 2 единиц продукции. Для оставшейся части цикла, то есть для времени t2 на складах хранится 0 единиц продукции; в итоге получаем 0 ´ t2 единиц продукции. Требуется найти среднее число единиц продукции, которое хранится в запасе в течение всего цикла Т.
Следовательно, среднее число единиц продукции, которое хранится в запасе в течение цикла запаса, составит:

Теперь мы можем выразить темп использования запасов D (единиц продукции в год) следующим образом:

Следовательно,

Подставив найденные соотношения для t1 и Т в формулу среднего уровня запасов в течение одного цикла, получим:

Для того, чтобы рассчитать средний уровень дефицита, можно использовать описанный выше алгоритм. В течение периода t2 средний размер дефицита составит S /2 единиц продукции, а в период t1 его значение будет равно нулю. Поэтому среднее число недостающих единиц продукции в течение всего цикла определяется как

следовательно, t2 = S / D.
Таким образом, средний размер дефицита равен:

Теперь можно определить вид уравнения общей стоимости:

Данное уравнение отличается от полученных нами ранее тем, что оно содержит две независимые переменные: q и S. Минимальное значение ТС можно найти, используя математическую процедуру дифференцирования по частям. Мы ограничимся лишь приведением ее результатов.
Оптимальный размер заказа составит:

а максимальный размер дефицита составит

Если рассматривать первый случай, в котором заказы клиентов не выполняются, то процедура анализа будет аналогична приведенному выше алгоритму, за исключением того, что максимальный размер запасов окажется равным q. Поэтому можно просто произвести замену (q – S) на q, a q – на (q + S), подставив указанные значения в формулы расчета среднего уровня запасов и среднего размера дефицита. В этом случае уравнение общей переменной стоимости примет вид:

Как и в предыдущем случае, применив операцию дифференцирования по частям, можно показать, что оптимальный размер заказа определяется по следующей формуле:

а максимальный размер дефицита составит:
